圖5:具有兩個組件的PCB的簡單電阻網絡。
在節點J1,J2處應用能量平衡,b1和b2:

有四個方程和四個未知數:Tj1,Tj2。 Tb1和Tb2。未知數可以通過求解聯立方程來確定。這個簡單的例子表明,通過傳導路徑耦合兩個元件,找到結溫會變得復雜得多。在實際應用中,當遇到具有不同導電平面的多個組件和多個PCB時,情況比上述示例復雜得多,所有導電平面都通過傳導,對流和輻射相互作用。
為了獲得合理的答案,設計師必須使用合理的工程判斷來近似不同組件之間的耦合。這可以通過以下方法實現:
方法1 - 使用控制體積法或電阻網絡模型的分析模型。這種方法需要過度簡化問題;否則解決方案變得非常復雜和不切實際。
方法2 - 在簡化幾何上使用CFD,如Guenin [4] 所述。該方法表明組件的等效表面積為:

其中An是組件的等效占位面積,Pn是組件的功耗,PTotal是總功耗,ATotal是PCB的總表面積。在計算等效占位面積之后,可以使用CFD模擬具有占位面積An和功耗為1瓦的單個元件的簡單PCB。此過程可有效計算電路板溫度與環境溫度(θBA)之間的差值,功耗為1瓦。圖6顯示了一個這樣的元件的CFD模擬,圖7顯示了θBA作為PCB尺寸的函數。圖7可用于通過簡單計算其有效占地面積來確定其他組件的θBA。假設所有組件具有相同的占位面積。

圖6:PCB上單個組件的CFD模擬

圖7:作為PCB尺寸 4 的函數的ΘBA分布。
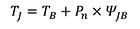
《 p》電路板溫度可以計算如下:

結溫可以計算為:

其中ψJB是特征參數。
方法3 - 如果PCB可用,通過實驗測量電路板溫度TB,并使用公式8來查找結溫。同樣,這是近似值,因為器件耦合到PCB的條件可能與JEDEC測試板使用的條件完全不同。
容-源-電-子-網-為你提供技術支持本文地址:http://www.flswjt.cn/pcb/20190121/15480616013107.shtml
本文標簽:
猜你感興趣:
晶振定義是什么?晶振怎么分類
晶振又稱石英晶體振蕩器,晶振是一種利用應時晶體(石英晶體)的壓電效應制成的諧振器件。
晶振是指從應時晶體上按一定方位切割下來的薄片,是時鐘電路中最重要的元件。晶振的工作原理是在一定狀態下,機械能和電能可以通過內部振蕩電路相互轉換。
關鍵詞: 所屬欄目:電子基礎
案例分享:家用電磁爐元器件散熱方式與導熱材料應用
兆科電子的熱管理材料能夠很好地解決電磁爐電路板和線圈盤等發熱元器件在復雜環境的可靠性和電磁兼容性問題。鑒于電磁爐對導熱材料的高導熱需求,兆科主要推薦的材料是導熱硅膠片和導熱硅脂產品來解決散熱方案。
關鍵詞: 所屬欄目:電源電路
pcb制板用什么軟件最好,自學pcb設計必備軟件推薦
很多新手朋友都會問:pcb制板用什么軟件最好,PCB設計常用什么軟件呢?其實,當你打算要學習PCB電路設計之前,你就必須了解一下這行業里面一般使用的是什么軟件是在進行設計,從剛開始就要用最專業的軟件,當然這樣會增加難度,但是當你完全習慣這個軟件之后就會發現其他軟件的不足,下面說為新手朋友們介紹幾款常用設計軟件。希望對大家有幫助。
關鍵詞: 所屬欄目:pcb
如何識別正品原裝電子器件
一般正規廠商生產的電子元器件都會在元器件的空白處標明廠家、元器件編號和生產日期等信息。
關鍵詞: 所屬欄目:元器件知識
簡易自制金屬探測器電路圖,只需少量元器件即可制作成
金屬探測器電路圖 金屬探測器可應用很多領域,當然,金屬探測器根據工作原理的不同,也可以分為很多種的類型電路,今天我們主要介紹的是用集成電路555制作的金屬探測器,由
關鍵詞: 所屬欄目:電路圖
晶體管國內外命名方法講座
國內命名方法:3DG1815-Y,第一部分用阿拉伯字表示器件的電極數目 2:表示二極管;3:表示三極管;
關鍵詞: 所屬欄目:元器件知識
如何應對電子元器件行業對環境的影響
電子行業對環境造成了影響,從正面來看,在照明、電機控制、傳感器和其他眾多應用當中增加電子元器件的使用大幅提高了能效,以及對環境進行監測和控制的能力。而從負面來看,電子產品的普及導致垃圾填埋場充斥著大量電子垃圾,并且向我們的環境排放有害物質。人們已經對該行業內的多種理念和趨勢進行了探索。
關鍵詞: 所屬欄目:元器件知識
電子元器件一般到哪里買?
以前商鋪的專業性應該是一項要考慮的因素,當我們走過電子專業商鋪時,如果發現玻璃柜中各種各樣的電路板或者各種形狀的電阻接頭時,我們可以安心地走進去購買電路板或者按
關鍵詞: 所屬欄目:元器件知識
電子元器件安裝注意事項
電子元器件種類多,外形不同,引出線也多種多樣,所以在安裝是需要注意以下幾點,平尚科技為大家介紹
關鍵詞: 所屬欄目:元器件知識
貼片電阻與貼片電感的區別
    貼片電阻與貼片電感不管是在形狀外表上還是在功能特點上都有一定的區別,那么一下就由小編來給大家淺談一下吧。
關鍵詞: 所屬欄目:電子基礎
解讀構成空氣凈化器的重要元器件--粉塵傳感器
對于在經常受到環境污染的城市中生活的人們來說,空氣凈化器已經成為標配的家用電器,空氣凈化器可以很大程度地幫助室內凈化空氣,消滅粉塵、甲醛等有害物質。空氣凈化器的功能實現需要各個模塊各司其職,現在,我們要解讀構成空氣凈化器的重要元器件--粉塵傳感器。
關鍵詞: 所屬欄目:傳感器技術
基于FPGA器件實現多頻鍵控調制電路的設計和仿真驗證研
數字信號傳輸系統分為基帶傳輸系統和頻帶傳輸系統.頻帶傳輸系統也叫數字調制系統。數字調制信號又稱為鍵控信號,數字調制過程中處理的是數字信號,而載波有振幅、頻率和相
關鍵詞: 所屬欄目:設計編程
分享高速PCB設計技巧
高速PCB設計技巧 高速PCB設計是指信號的完整性開始受到PCB物理特性(例如布局,封裝,互連以及層堆疊等)影響的任何設計。而且,當您開始設計電路板并遇到諸如延遲,串擾,
關鍵詞: 所屬欄目:pcb
很小的貼片器件怎么焊接及注意事項
很小的貼片器件怎么焊接
900M、500、200型號等選擇合適自己焊臺或者電烙鐵,I型烙鐵頭適合精密焊接環境受局限的焊點兒,或焊接空間狹小之情況,0.5C, 1C/CF, 1.5CF 等烙
關鍵詞: 所屬欄目:電子基礎
集成功率放大器件或分立元件放大電路設計
圖1為一個由分立元件構成的直流化的互補對稱OCL電路。電路由差分放大級、電壓推動級和復合輸出級構成。本電路引入了直流負反饋電路,一般功放中由于存在反饋電容,限制了低頻響應,為了消除這種不利影響,只有增
關鍵詞: 所屬欄目:音頻功放電路
如何解決波峰焊助焊劑噴頭堵塞方法分享
如何解決波峰焊助焊劑噴頭堵塞助焊劑噴嘴的作用就是通過波峰焊外接氣源的壓力作用使波峰焊助焊劑均勻的噴涂在線路板的焊接面以使線路板完成波峰焊接。波峰焊的助焊劑噴頭堵
關鍵詞: 所屬欄目:其他文章
波峰焊操作注意事項
波峰焊操作注意事項波峰焊設備是目前應用廣泛的自動焊接設備。波峰焊設備的主要結構是個溫度能自動控制的熔錫缸,缸內裝有機械泵和具有特殊結構的咳嘴。機械泵能根據要求,
關鍵詞: 所屬欄目:其他文章
回流焊熱傳遞方式有哪幾種及特點
回流焊熱傳遞方式有哪幾種及特點回流焊技術在電子制造域并不陌生,我們電腦內使用的各種板卡上的元件都是通過這種工藝焊接到線路板上的,這種設備的內部有個加熱電路,將空
關鍵詞: 所屬欄目:其他文章
波峰焊工藝在調試方面有哪些內容和技巧
波峰焊接工藝是一個復雜的工藝過程,如果有哪個環節出現錯誤就會造成波峰焊接產品批量的不良。下面與大家分享一下波峰焊工藝主要調試內容和調試技巧。
波峰焊工藝軌道水平
關鍵詞: 所屬欄目:其他文章
使用波峰焊后造成PCB板短路連錫的原因有哪些
波峰焊如果操作不當會造成批量的PCB焊接點短路連錫現象。PCB焊接點短路連錫也是波峰焊接中廠家最多的焊接不良,它是由多種原因造成的。下面和大家分析一下波峰焊后PCB板短路
關鍵詞: 所屬欄目:其他文章